返回顶部
您好,欢迎您光临广东成人高考网!
请记住广东成考网域名:
www.gdck.com.cn
收藏本站
服务热线
:
0755-25885303
培训
网校
教材
热门搜索:
报考条件
考试科目
报考/考试时间
考分查询
首页
网上报名
成考辅导
成考教材
网络课堂
报考指南
招生资讯
招生院校
学员专区
报考
(
广东省成考网网上报考指南
)
全国政策
广东政策
网上报名
招生院校
招生专业
报考指南
招生资讯
实用信息
备考
(
考前培训报名
)
辅导报名
网络课堂
教材订购
学习资料
学习方法
查询中心
资料大全
下载中心
地区
(
广东培训班总汇
)
广州
深圳
佛山
东莞
惠州
清远
中山
韶关
珠海
肇庆
江门
全部>>
广州
深圳
佛山
东莞
惠州
清远
中山
韶关
珠海
汕头
江门
潮州
揭阳
河源
梅州
阳江
汕尾
湛江
茂名
肇庆
云浮
其它
1
2
当前位置:
广东成人高考网
>>
高等数学
>> 浏览信息
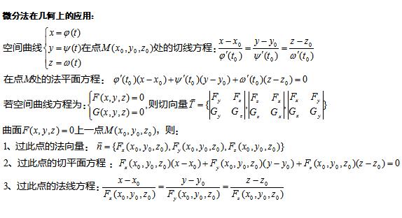
2014年成考专升本高等数学必备公式:微分法应用
时间: 2014年05月29日 来源:互联网 作者: 佚名 浏览: 次
2014年成考专升本高等数学必备公式:微分法应用
分享到:
|
更多
返回首页
打印文章
关闭窗口
【上一篇文章】
:
2014年成考专升本高等数学必备公式:方向导数与梯度
【下一篇文章】
:
2014年成考专升本高等数学必备公式:多元函数微分法
考前辅导
培训报名
成考教材
网络课堂
资料大全
用户评论
(只显示最新10条。评论内容只代表网友观点,与本站立场无关!)
看了本文还会喜欢:
(只显示最新10条。评论内容只代表网友观点,与本站立场无关!)
·
2014专升本数学模拟自测专题训练2
·
全国成人高考高等数学如何复习?
·
全国成人高考高等数学二专升本考前复习
·
2014成考专升本高等数学考试重点:函数和差求导法则
·
2014年成考专升本高等数学必备公式:半角公式
·
2017年成人高考专升本高等数学(二)考试大纲
·
成考专升本高等数学复习资料大全
·
成人高考专升本数学复习笔记一
·
成人高考专升本数学复习笔记二
·
成人高考专升本数学复习笔记三
报考指南
网上报名
成考教材
网络课堂
成考简介
报考条件
报考时间
报考流程
招生院校
热门专业
录取流程
录取分数
考前培训
考分查询
录取查询
成考教材
考试科目
客服中心
网络课堂
工具栏
网络课堂
历年真题
教材中心
网上报名
学习资料
学员专区
考前培训
·
2019年东莞市成人高考考前培训班
·
2019年清远市成人高考考前培训班
·
2019年深圳市<成人高考考前辅导班
·
2019年广州市<成人高考考前辅导班
·
2018年佛山市成人高考考前培训班
·
2018年惠州市成人高考考前培训班
·
2018年中山市成人高考考前辅导班
·
2017年清远市成人高考考前培训班
·
2018年东莞市成人高考考前培训班
·
2015年汕头市成人高考考前辅导班
实用信息
·
成人高考,教你如何选择适合自己的
·
广东成考网教你怎么购买网课
·
教你如何购买2018成人高考教材!
·
【成考】让你成考考场超长发挥的
·
2019成人高考报考条件
·
2017成人高考报考条件
·
2019年广东成人高考录取流程
·
成人高考考前温馨提示!
·
成人高考备考指导
·
成人高考历史得分诀窍
快速导航
全国政策
广东政策
成考新闻
招生资讯
招生院校
招生专业
考试大纲
学习办法
历年真题
资料大全
下载中心
辅导培训
在线报名
成考教材
网络课堂
设为首页
|
加入收藏
|
诚邀加盟
|
关于我们
|
购物流程
|
货到付款